Current feedback
Current measurements are essential for proper and efficient motor control. The drive measures the current on each phase and uses different interpretations.
Current measurements
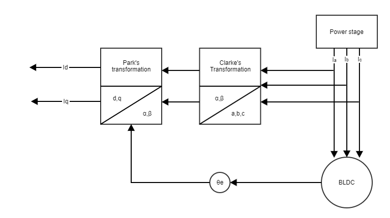
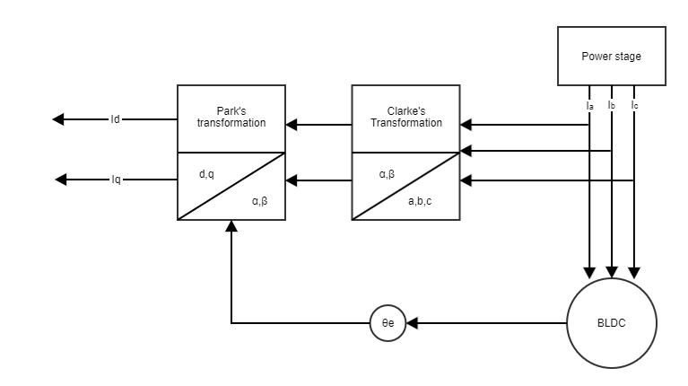
Currents are measured using three shunt topology. Therefore current A value, current B value, and current C value are obtained simultaneously.
Field oriented control (FOC)
Direct current measurements are only used for monitoring purposes. Control loops and protections use the components' current direct value and current quadrature value to reach the best performance.
These currents are obtained following the next diagram:
Clarke transformation
Park transformation
How current control loop works is available on Current modes (CSC, C, CA) section
How current protections work is available on Drive protections section
Output current
The current actual value is obtained from the module of the components direct and quadrature and it represents the total amount of current driven by the drive to the actuator.
I2T, derating and, in general, all the current protections are based on this module. Further information on Drive protections section.
Current measurable range
Some products have the capability to change the measurable current range to increase the resolution for applications where the nominal current is lower than the maximum nominal current of the drive.
